2种降压型DC-DC变换器的工作原理
在电子电路领域,降压型DC-DC 变换器是实现电压转换、满足不同电子设备电压需求的重要元件。相关技术人员对非同步和同步降压型 DC-DC 变换器的工作原理进行了详细介绍。
非同步降压型DC-DC 变换器
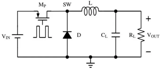
非同步降压型DC-DC 变换器是一种常见的电压转换电路,其基本组成部分包括功率管(绝缘栅双极型晶体管 IGBT)、二极管、片外电感、输出电容和负载电阻等。在这个电路中,功率管 Mp 和二极管 D 交替导通,实现电压的降压转换。

图1 非同步降压型 DC-DC 变换器
当功率管Mp 导通时,VSW = VIN,此时二极管 D 反偏截止,无电流通过。此时,拓扑结构等效如图 2 所示。

图2 非同步降压型 DC-DC 变换器等效图(Mp 导通)
从图2 可以看出,电感电流在导通时间内以恒定的斜率上升。根据电路原理,电感电流的上升量可以通过公式计算得出。

电感电流上升量计算公式
当功率管Mp 关断时,由于电感电流的连续性,二极管 D 会导通,拓扑结构等效如图 3 所示。

图3 非同步降压型 DC-DC 变换器等效图(Mp 关断)
在忽略二极管上的非理想压降的情况下,电感两端的电压可以确定。功率管关断的时间内,电感电流以恒定的斜率下降,其下降量也可以通过相应公式计算。

电感两端电压计算公式

电感电流下降量计算公式
在CCM(连续导通模式)下,变换器终工作在稳定状态,此时电感电流下降量和上升量相等。通过这个关系,我们可以得到输出电压与输入电压的关系。

电感电流下降量和上升量相等公式
输出电压与输入电压关系公式
同步降压型DC-DC 变换器
在实际应用中,非同步降压型DC-DC 变换器中输入电压和输出电压之间的关系需要考虑二极管的压降。二极管的压降会引入功率损耗,降低整体的效率。为了解决这个问题,人们采用 NMOS 功率管代替二极管 D,形成了同步降压型 DC-DC 变换器。

图4 同步降压型 DC-DC 变换器
功率管的漏源电压比二极管压降小得多,基本上可以忽略不计。这样一来,同步降压型DC-DC 变换器的输入输出电压关系更接近于理想情况,大大提高了电路的效率。
综上所述,非同步和同步降压型DC-DC 变换器各有特点。非同步降压型 DC-DC 变换器结构相对简单,但存在二极管压降带来的功率损耗问题;而同步降压型 DC-DC 变换器通过采用 NMOS 功率管,有效降低了功率损耗,提高了效率。在实际电路设计中,我们需要根据具体的应用需求和性能要求,选择合适的降压型 DC-DC 变换器。
声明:本网站原创内容,如需转载,请注明出处;本网站转载的内容(文章、图片、视频)等资料版权归原网站所有。如我们采用了您不宜公开的文章或图片,未能及时和您确认,避免给双方造成不必要的经济损失,请电邮联系我们,以便迅速采取适当处理措施;邮箱:limeijun@yushin88.com